|
|
Большая Советская Энциклопедия (цитаты)
|
|
|
 |
Гидролиз | Гидролиз (далее Г) (от гидро... и греч. lýsis — разложение, распад), реакция ионного обмена между различными веществами и водой. В общем виде Г можно представить уравнением:

где А—В — гидролизующееся вещество, А—Н и В—ОН — продукты Г
Равновесие в процессе Г солей подчиняется действующих масс закону. Если в результате Г образуется нерастворимое или легколетучее вещество, Г идет практически до полного разложения исходной соли. В остальных случаях Г солей проходит тем полнее, чем слабее соответствующая соли кислота или основание.
Если Г подвергается соль, образованная слабой кислотой и сильным основанием, например , раствор имеет щелочную реакцию; это объясняется тем, что анион слабой кислоты частично связывает образовавшиеся при диссоциации воды ионы Н+ и в растворе остается избыток ионов -:

Раствор соли сильной кислоты и слабого основания, например 4, — кислый

Если заряд катиона (или аниона) соли больше единицы, то Г часто приводит к образованию кислых (или основных) солей в качестве продуктов первой ступени процесса, например:
2 ® () ® ()2.
Количественной характеристикой Г солей может служить степень гидролиза (a), определяемая отношением концентрации гидролизованной части молекул к общей концентрации данной соли в растворе; в большинстве случаев она невелика. Так, в 0,1 молярных растворах ацетата 3 или аммония 4 при 25 °С a = 0,01%, а для ацетата аммония 34 a = 0,5%. С повышением температуры и разбавлением раствора степень Г увеличивается.
Г солей лежит в основе многих важных процессов в промышленности и лабораторной практике. Частичный Г трехкальциевого силиката является причиной выделения свободной извести при взаимодействии портландцемента с водой (см. Цемент). Благодаря Г возможно существование буферных систем, способных поддерживать постоянную кислотность среды. Такие растворы имеют и очень важное физиологическое значение — постоянная концентрация ионов Н+ необходима для нормальной жизнедеятельности организма. С Г солей связан ряд геологических изменений земной коры и образование минералов, формирование природных вод и почв.
Г органических соединений — расщепление органического соединения водой с образованием двух или более веществ. Обычно Г осуществляется в присутствии кислот (кислотный Г) или щелочей (щелочной Г). Гидролитическому расщеплению чаще всего подвергаются связи с другими (галогенами, и др.). Так, щелочной Г галогенидов служит методом получения (в том числе и промышленного) спиртов и фенолов, например:

В зависимости от строения углеводородного радикала (R) и от условий реакции Г галогенпроизводных может осуществляться как мономолекулярный (1) или бимолекулярный (2) процесс. В случае мономолекулярной реакции вначале происходит ионизация связи — галоген, а затем образующийся ион карбония реагирует с водой; щелочь, если она добавлена, не влияет на скорость Г и служит только для нейтрализации выделяющейся галогеноводородной кислоты и смещения равновесия:

В случае бимолекулярной реакции скорость Г прямо пропорциональна концентрации щелочи:
R—Hal+ + - ® R— + Hal-2.
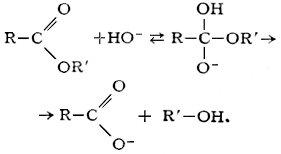
Исключительно важен Г сложных эфиров (реакция, обратная этерификации):

Кислотный Г сложных эфиров является обратимым процессом:

Щелочной Г сложных эфиров необратим, поскольку он приводит к образованию спирта и соли кислоты:

Этот процесс широко применяется в промышленности для получения спиртов и кислот, например при омылении жиров с целью получения глицерина и солей высших алифатических кислот (мыла).
Аналогично сложным эфирам гидролизуются амиды кислот:

Случаи Г связи сравнительно редки. К ним относятся, в частности, кетонное (действием кислот и разбавленных щелочей) и кислотное (действием концентрированной щелочи) расщепление 1,3-дикарбонильных соединений, например ацетоуксусного эфира:

Термин "Г" обычно применяется в органической химии также по отношению к некоторым процессам, которые более правильно было бы называть гидратацией; примером может служить превращение нитрилов кислот в амиды:

Г сложноэфирных, гликозидных (в углеводах) и амидных (в связей играет огромную роль в жизнедеятельности любых организмов, например, в таких процессах, как усвоение пищи, передача нервных импульсов и т. п. Г в живом организме катализируется ферментами гидролазами. См. также Г растительных материалов.
Лит.: Киреев В. А., Курс физической химии, 2 изд., М., 1956; Реутов О. А., Теоретические проблемы органической химии, 2 изд., М., 1964. |
Для поиска, наберите искомое слово (или его часть) в поле поиска
|
|
 |
 |
 |
|
|
Новости 23.11.2025 02:53:35
|
|
|
 |
|
|
 |
 |
 |
|