|
|
Большая Советская Энциклопедия (цитаты)
|
|
|
 |
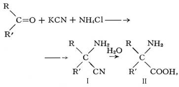
Зелинского - Стадникова реакция | Зелинского - Стадникова реакция (далее З) метод синтеза a-аминокислот из альдегидов и кетонов. Например,

где R и R" = , алифатический, алициклический или ароматический радикал. Реакцию проводят в водных средах при 0-20°С в течение нескольких часов. С выходами 60-90% образуются a-аминонитрилы (), гидролизуемые далее в a-аминокислоты (). З. - С. р. - усовершенствованный метод циангидринного синтеза a-аминокислот, разработанного немецким химиком А. Штреккером (1850). Реакция открыта Н. Д. Зелинским и Г. Стадниковым в 1906. |
Для поиска, наберите искомое слово (или его часть) в поле поиска
|
|
 |
 |
 |
|
|
Новости 25.11.2025 14:08:08
|
|
|
 |
|
|
 |
 |
 |
|